云南省农业农村厅2022年下半年事业单位公开招聘工作人员笔试成绩公告
发布时间:2022-12-08
来源: 云南省农业农村厅
作者:佚名
根据《云南省农业农村厅2022年事业单位公开招聘工作人员公告》要求,现将云南省农业农村厅2022年下半年事业单位公开招聘工作人员笔试成绩进行公告。考生可根据准考证号,可在全国人事考试服务平台(http://zp.cpta.com.cn/tyzpwb/?examid=dCdI)或本公告所附的《云南省农业农村厅2022年下半年事业单位公开招聘工作人员笔试成绩》中查询笔试成绩。在2022年12月9日前工作时间内,对考试成绩有疑问的可向云南省农业农村厅申请查疑,逾期不予受理。资格复审及相关后续事宜另行通知,考生可在云南省农业农村厅网站(https://nync.yn.gov.cn/)查看,请保持报名时登记的联系电话畅通。
联系电话:0871-63116775
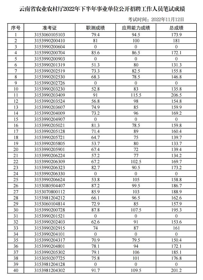
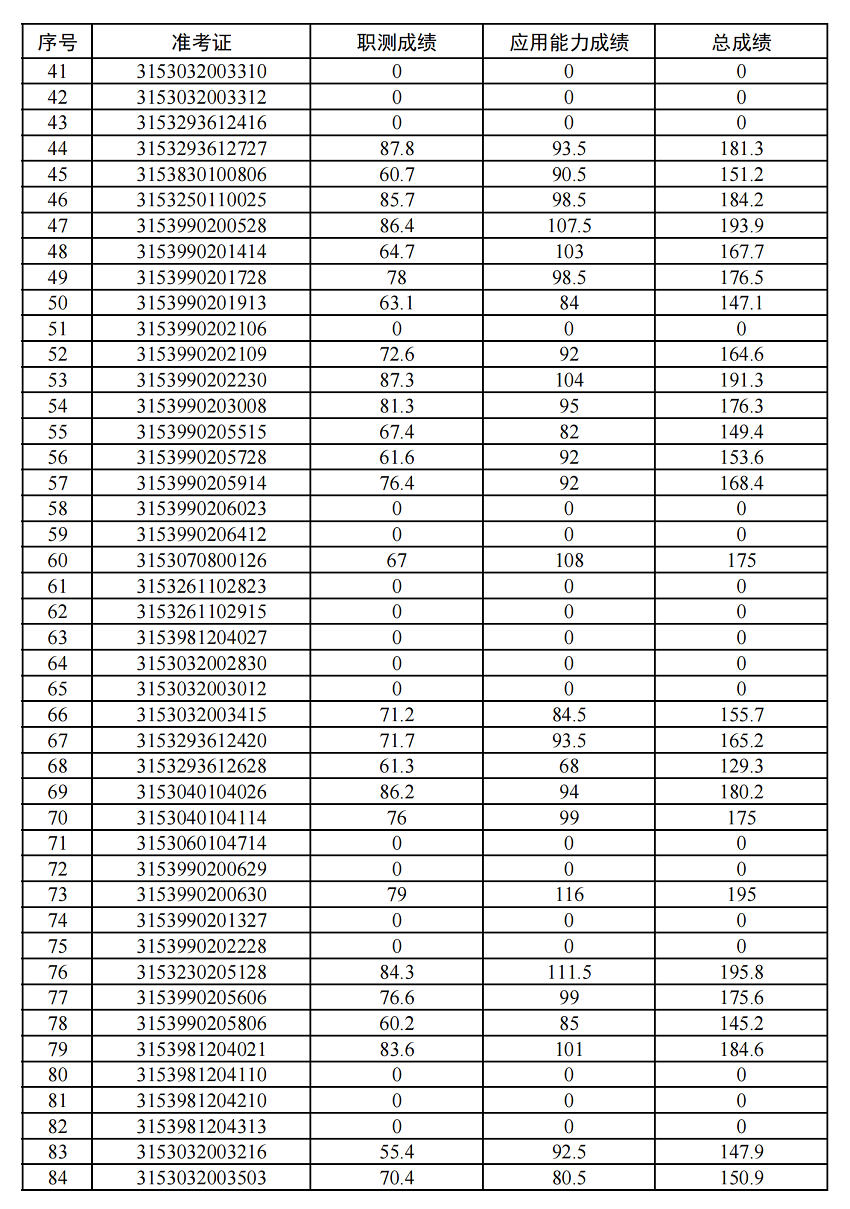
附件:云南省农业农村厅2022年下班年事业单位公开招聘工作人员笔试成绩



原文链接:https://nync.yn.gov.cn/html/2022/renshixinxi_1205/393001.html?cid=3001
[免责声明] 本文来源于网络转载,仅供学习交流使用,不构成商业目的。版权归原作者所有,如涉及作品内容、版权和其它问题,请在30日内与本网联系,我们将在第一时间处理。
最新加入
2020-07-15
江西天皓房地产有限公...
2020-05-13
致上饶市政府陈云市长...
2020-05-13
致江西省自然资源厅张...
2024-01-12
致沈阳市市纪委书记、...
2020-05-13
致上饶市委马承祖书记...
2020-04-28
土地性质:一定要辨别...
2020-04-23
圈地千亩国际健康峰会...
2020-04-24
农村土地新政策,抛荒...
2020-04-28
黑土地“金豆子”鼓了...
热门资讯
2020-07-15
江西天皓房地产有限公...
2020-05-13
致上饶市政府陈云市长...
2020-05-13
致江西省自然资源厅张...
2024-01-12
致沈阳市市纪委书记、...
2020-05-13
致上饶市委马承祖书记...
2020-04-28
土地性质:一定要辨别...
2020-04-23
圈地千亩国际健康峰会...
2020-04-24
农村土地新政策,抛荒...
2020-04-28
黑土地“金豆子”鼓了...
2021-06-23
致鄂尔多斯市东胜区政...





